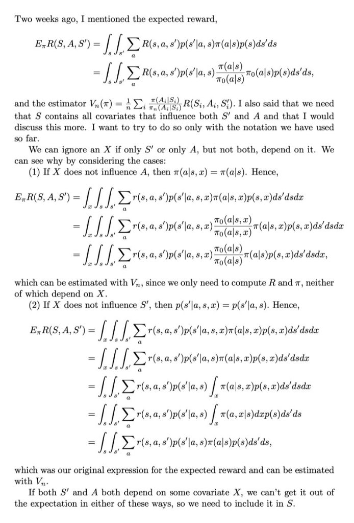
I said before, that to estimate we need to have collected all the covariates,
that influence both
and
, since
and
influence
.

I said before, that to estimate we need to have collected all the covariates,
that influence both
and
, since
and
influence
.

Leave a comment